The problems analyzed from the "SAT Wall" are highly representative of the challenging, multi-concept questions often seen on the Digital SAT. The December test is expected to emphasize a mix of complex algebra, integrated geometry, and conceptual data analysis.
Here is a breakdown of the essential topics you must master to succeed.

📈 Advanced Algebra and Functions
These questions often involve manipulating equations to meet a specific condition (like "no solution") or understanding the structure of polynomial expressions.
| Concept | Problem Type | Core Skill |
|---|---|---|
| No Solution/Infinite Solutions | Linear equations with variables for coefficients (e.g., m, n). | Know the conditions for parallel lines: Slopes must be equal, but y-intercepts must be different. |
| Polynomial Identity | Multiplying complex factors like (ax+b)(cx^2+dx+e) and equating coefficients to a resulting polynomial. | Use the distributive property (FOIL/Box Method) and match the coefficients of corresponding powers of x (e.g., x^3, x^2, x) to solve for unknown variables. |
| Sum of Solutions (Quadratics) | Solving equations that simplify to a quadratic, or using the sum/product rule. | For a quadratic ax^2+bx+c=0, the sum of solutions is $-b/a$. Be able to factor and identify two solutions, even if one is easily found (e.g., a common factor). |
| Literal Equations | Rearranging scientific formulas (like the Law of Gravitation) to isolate a specific variable. | Treat variables as numbers and apply inverse operations (multiplication, division, squaring) to solve for the target variable. |
| Systems of Equations | Solving systems that involve linear and quadratic/non-linear equations. | Utilize the Desmos calculator to graph both equations and quickly find the points of intersection (solutions). This is the fastest method. |
Integrated Geometry & Coordinate Geometry
The DSAT frequently tests geometry concepts by embedding them within algebra or data problems, requiring you to visualize a shape and its properties.
| Concept | Problem Type | Core Skill |
|---|---|---|
| Circles (Standard Form) | Converting the general form of a circle's equation to the standard form | Complete the Square for both x and y terms to find the center (h, k) and the radius r. Be prepared for coefficients greater than 1, requiring an initial division. |
| Tangent Lines & Slope | Finding the slope of a line tangent to a circle at a given point. | Understand that the radius to the point of tangency is perpendicular to the tangent line. Use the negative reciprocal of the radius slope for the tangent line's slope. |
| 3D Shapes (Cones) | Finding volume using a right triangle formed by height, radius, and slant height. | Recognize that the height (H), radius (R), and slant height ($S$) form a right triangle. Use R^2 + H^2 = S^2 to find the missing dimension before applying the volume formula. |
| Inscribed Shapes | Finding dimensions or area of a rectangle inscribed in a circle. | A rectangle's diagonal is the circle's diameter. Use this fact, often combined with the Pythagorean theorem or properties of 30-60-90 triangles, to solve. |
Data Analysis, Probability, and Statistics
Be prepared for questions that test both conceptual understanding (like margin of error) and the ability to work with proportions and weighted averages.
| Concept | Problem Type | Core Skill |
|---|---|---|
| Box Plots | Interpreting and comparing the distributions of two or more data sets. | Know that the line inside the box represents the median. Be able to compare quartiles and medians visually; the mean cannot be determined. |
| Weighted Averages | Finding the concentration/average of a mixture where components have unequal amounts (e.g., different carton numbers of different concentration milk). | Calculate the weighted total. Do not simply take the arithmetic mean. |
| Conditional Probability | Using proportions/percentages within a sample where subgroups are of unequal size (e.g., "Twice as many people prefer dark chocolate..."). | Assign variables to the different group sizes (e.g., N and 2N) and use them to weight the proportions before calculating the final probability. |
| Margin of Error (Conceptual) | Determining how changes in sample size affect the margin of error (MOE). | Inverse Relationship: A larger sample size results in a smaller margin of error (higher confidence). |
🔥 New Challenge Predicted: Solving Intimidating Systems of Equations

The SAT Insight: Elimination is Your Friend 🤝
Instead of expanding the 6(y-9) terms and making the equations messier, notice that the y terms in the two equations are opposites: +6(y-9) and -6(y-9). This is a massive hint to use the Elimination Method.
Step 1: The Magic of Elimination (Getting Rid of $y$)
Take a look at our two equations, notice anything special about the y terms? In the first equation, we have +6(y-9), and in the second, we have -6(y-9). They are perfect opposites!
This is our cue to use the Elimination Method. We are going to add the two equations together, left side to left side, and right side to right side.

When we combine everything, the $y$ terms cancel out beautifully:

See? We're left with an equation that only has $x$! That's a huge win!
Step 2: Solve for x
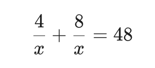
Now we just have a simple fraction problem. Since both terms on the left have a common denominator, x, we can just add the numerators: 4+8 gives us 12.

To solve for x, let's multiply both sides by x to get it out of the denominator:

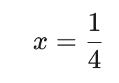
Finally, divide both sides by 48. And always simplify your fraction! 12 goes into 48 four times, so:

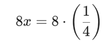
Step 3: Calculate the Target Value (8x)
Don't stop here! The question didn't ask for x; it asked for the value of 8x. This is the final and easiest step.

Multiplying 8 by one-fourth is the same as 8 divided by 4.

And that's our final answer! The value of 8x is 2.
💡 Strategic Takeaway
Many of the "hard" problems (like those involving systems of equations or circle geometry) can be drastically simplified by effectively using the Desmos Calculator. Practice graphing non-standard equations and identifying key features, as this is a core time-saving strategy for the DSAT.
Good luck with your December exam preparation!




